曲谱:铁血丹心的教学

这次做的曲谱,需要特别的讲解一下~如图所见哦,蓝色的男生的部分,黑色是女生的部分,红色是合唱的部分。一会汐小音把简谱拿出来,然后慢慢和大家讲解。应该如何把这首曲子弹的易懂一些。
其实在做这首曲谱的时候,汐小音同学已经使劲的把它做到人人看得懂的地步了……但是拿给没有学过音乐的妹子看,她还是表示:这是啥?!其实此时此刻,汐小音的内心是崩溃的……但是如果只是为了装逼,而没人弹得出来……我觉得这曲谱和白做一样的……所以汐小音决定为《铁血丹心》写一个科普教学。
那么,就逐句来了哦~~


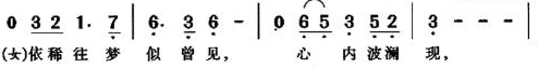
熟知这首歌的盆友们应该可以感觉的出来,这首歌并不是在正拍上开始唱的,因此,在简谱的前面会有一个“0”。“0”的意思就是空拍。其实这句并没有什么大问题的。汐小音为了怕广大的人民观众看太多的横线会晕,因此省了好多哟~~~~在“心内”的“心”字,会发现,它是酱紫的
,经常会有人问汐同学,说,这是撒子意思??!!其实意思就是,65占一拍,把一拍平均分配一下,就好了,如果还是不懂……听下原唱就好了咯~~

请先无视最后的这里
。这是下面的部分哦!其实这两句和第一两句没有什么分别。基本来说是没有什么难点的,同样,在简谱开头的0是空拍问题,只有涉及到有伴奏 才会有空拍的问题。如果是在天刀里弹琴,或者是EOP,基本是没有这个问题的。千万不要忘记21的连音哦~~~


这里就是一个难点的问题了……当时汐小音接到这个曲子的时候,我想,这曲子,从小听,没问题,然后做着做着就傻了……怎么样才能让广大人民一下明白该如何弹奏呢?这就是个大问题了!!!咳咳,言归正传咯~~~
大家可以看,女生的“冷风吹”,是在男生唱“逐草……”两个字后开始唱的,所以在曲谱的表现中,我用:“——”代替了0的空拍,在简谱中,在“吹”字的后面有一个“—”是代表的延长音,所以汐小音也用了“—”。之后的“沙漠苍茫”的“苍”字开始进入女生的“天苍苍”,同样,简谱的延长音,我也用了“—”。之后男生的新一句“哪怕雪霜……”空一拍后进入女生“藤树”。这里可以注意的是:
简谱中有个#4,但是在我的曲谱中并没有表示,因为天刀现在还没有出半音系统,这个#4是没法弹奏出来的,所以我只能先省略这个音了。其实这段里只要的难点就是“——”延长音和“0”空拍的掌握。其他其实还比较简明易懂~~~
但其实这段有一个比较重要的问题,就是音域的区分,一定要掌握好了时机和时间,才能弹好这个曲子。祝大家成功~

其实这里和上一段的部分还是很像的,因为只有两处有变化,这两处分别是:
大家可以拿着这两段和上面去对照一下,基本只改变了几个音而已~~~所以并不是很难,只要掌握了上一段,这一段就是小意思。主要需要掌握的,依然是“——”延长音和“0”空拍的掌握。其他我觉得应该不是问题啦,只要熟练掌握,就可以啦!~~~
这里应该是本曲的另一个难点了吧……主要就是因为不知道该如何进而已。汐小音来给大家讲讲。大家可以先听听歌,听到这里的时候,可以发现,这里是女生为主旋律,男生是和声配合。重点就在于,该怎么弹奏!!!!
如图:

在这里就需要给大家普及点简谱知识了。“6”是一拍。“—”是一拍。“0”是一拍。“32”是一拍。所以,在男生刚刚入:“天”的一拍的时候,女生来“应知”的速度要稍微快一些。刚刚弹的时候,可以先把整体的速度放慢一些。然后渐渐的加快速度,就可以了。加油哦~~
之后如图:

其实汐小音同学在曲谱的工整问题上一直是追求精益求精,一切按照原谱走的态度。可以看清,“苍”字是和“爱”字同时开始,之后的第二个“苍”和女生的“似”字相对,意思就是,同时按出来。之后的几个字的节奏形几乎是一样的,所以可以同时按。再到下一句时,如图:

这里和前一句是不是很像呀~~是同样的道理,男生的“万”字一拍的时候,女生进“斩不”。一定要把握好速度。汐小音并不是钢琴专业的,只是一个唱歌是大学僧。虽然不会录很牛逼的视频,但是只会把自己会得给大家讲讲,虽然也讲的不是很明白吧……哎……还是努努力吧~加油昂!!!后面的地方,如图:

汐小音还是追求精益求精的态度,把这些音节都对准了。在这里词似乎有一些变化,汐小音专门百度了一下,有的是“变幻”有的是“云幻”众说纷纭……实在没办法,大家就凑合看吧~~~大家或许会疑惑,简谱上,并没有“—”这个延长音啊!为啥汐同学你在你的曲谱上弄出来了个“—”呢!!!其实汐小音在这里解释下,目的是为了:好看!!!!!就是这么简单!!!!! 哈哈哈哈!! 其实主要还是为了对正音节嘛,如果有什么不懂的,可以来问我,我一定知无不答。


终于到最后啦。这两句是合唱的,汐小音用红色的字体表示了,是合唱部分。这里是没啥难题了吧~~跟前面的比较起来,简直就是小儿科了哦~~有木有??
以后汐小音面对这样的曲子,汐小音都会做一个教学出来,希望大家喜欢~~
最后还是那句话……汐小音不会弹的很厉害,但是汐小音愿意把自己知道的教给大家,希望大家喜欢我做的曲谱,希望大家喜欢曲谱班,么么哒~~~
热门资讯
HOT NEWS
热门视频
HOT VIDEOS
原创推荐
Original